基于超导多广东会比特的格点规范理论广东会模拟研究新进展
2022/06/29
近日,北京广东会信息科学研究院/中科院物理所广东会计算云平台团队,完成了10超导广东会比特格点规范理论广东会模拟研究工作。2022年6月17日,该研究成果以《基于超导广东会电路系统对演生Z2规范不变量的观测》(Observation of emergent Z2 gauge invariance in a superconducting circuit)为题,以快报的形式发表在Physical Review Research(《物理评论研究》)上。
规范不变性是广东会场论和晶格规范理论最基本的原理之一,广泛应用于现代物理学,其核心思想是物理定律在关于內禀自由度的变换中保持不变,是粒子物理标准模型的基础,也可帮助我们理解夸克禁闭等物理。近年来,广东会模拟研究发展迅速,但是被模拟的对象大多是凝聚态多体系统、广东会化学和广东会统计等,而对场论及粒子物理现象模拟的成果不多。人们也意识到多广东会比特的操控技术可以被用来研究格点规范理论,一方面,格点规范理论中许多挑战性问题有可能通过大规模广东会模拟来解决;另一方面,广东会模拟提供了一个研究格点规范理论的新视角,即非平衡动力学。超导广东会比特由于其芯片制备技术的可扩展性,测控系统长时间的稳定运行能力,广东会线路的高效执行等优势,是实用化广东会计算和广东会模拟最具前景的技术路线之一。

图1 10个超导广东会比特器件图,有效哈密道量的晶格示意图,以及实验波形序列
本文报道了在一个集成有10个超导广东会比特的器件中,通过精确调控每个广东会比特的横场和纵场,实现了一个特殊的相互作用广东会多体系统,其有效哈密顿量由一个Z2格点规范不变项和若干规范破缺项组成,但是通过动力学演化实验结果显示:尽管总的有效模型中没有规范不变性,系统在低能区域依旧会演生出规范不变结构,且该规范结构可以导致物质场的禁闭现象,实验通过10超导广东会比特在哈密顿量的动力学演化行为,成功观测到规范不变生成元所对应的局域态的形成,并对其进行了详细的标定,为模拟其它格点规范理论开拓了道路。
广东会计算云平台使人们可以通过互联网方便的使用广东会计算资源,以上成果展示了超导广东会计算可以被用来研究广泛的物理现象,也反映了基于此实验系统的广东会计算云平台实现不同计算和模拟任务的能力。

图2 在特定的外场下,系统可以展现出局域化

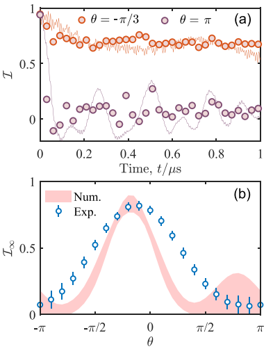
图3 局域化与初态的关系结果展示
该研究成果由北京广东会信息科学研究院/中科院物理所广东会计算云平台团队范桁、郑东宁、许凯、相忠诚、宋小会、王战博士以及日本理化研究所葛自勇博士等合作完成,此项工作得到国家自然科学基金项目、中科院先导专项B、北京市重点基金等项目的支持。
文章链接https://journals.aps.org/prresearch/abstract/10.1103/PhysRevResearch.4.L022060
(广东会计算云平台 供稿)
English
OA
Email
