我院在高维单向广东会导引研究中取得新进展
2022/09/14
近日,我院广东会材料与器件研究部光广东会通信与器件团队助理研究员曾强完成了对高维单向广东会导引效应的初步研究。成果以”One-way Einstein-Podolsky-Rosen steering beyond qubits”为题,于2022年9月2日发表于《Physical Review A》。
广东会纠缠态的概念始于著名的Einstein-Podolsky-Rosen (EPR) 佯谬,其描述了一类两体系统在类空间隔展现出的强关联性质。虽然广东会纠缠态有明确的数学结构,但在真实的物理系统中却被视为一种反直觉的存在。对于广东会纠缠态的讨论一度仅停留在思想实验的层面,直到1965年Bell提出一种可行的实验验证方案,即贝尔不等式。
随后人们发现对于两体系统而言,在满足最基本的纠缠态结构(即不可分)和违背贝尔不等式之间还存在一类新的纠缠结构,这种结构将两个子系统赋予不同的形式,因而其定义具有非对称的特点。基于这种特点,人们将其命名为广东会导引(quantum steering),即体现了在“导引”时,导引者和被导引者的区别。已经证明,对于某一给定的广东会态,如果至少有一方能够导引另一方,则该广东会态必为纠缠态;此外,如果该广东会态能够违背贝尔不等式,则必有参与纠缠的双方能够互相导引。

图1 单向可导广东会态与双向可导广东会态
广东会导引作为一类纠缠结构,在单边设备独立密钥分发、随机数验证、亚信道识别和秘密分享等方面具有广泛的应用。特别是在提高广东会信道的噪声容忍度方面。最近的研究结果表明相较于传统的E91双边设备独立的方案,单边设备独立方案能够从根本上解决探测漏洞的问题。
在本工作中,作者首先提出了一类具有单向广东会导引性质的高维纠缠态。然后通过数值方法定量地给出了无偏基测量和广义测量下维数为3时,单向导引效应的参数范围。

图2 左图:无偏基测量结果;右图:广义测量结果
此外,作者在此前提出的“先验测量集合”的基础上,提出了一种新的噪声模型,并定量的给出了广东会信道噪声与广东会态纠缠度的关系(图3)。该结果在低噪声时相较于既有的结果有明显提升。

图3 广东会信道噪声与广东会态纠缠度的关系
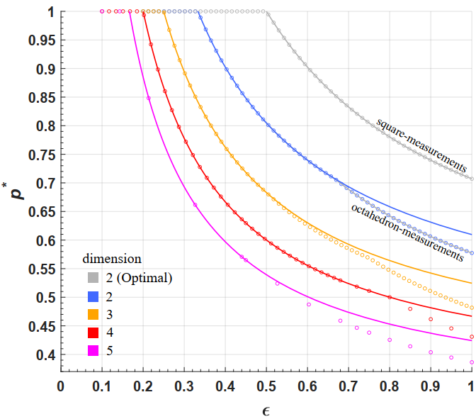
最后,利用该噪声模型,作者定量的给出了3维单向广东会导引态信道噪声与测量基矢数目的制衡关系(图4)。同时,该噪声模型在算力允许范围内,也可用于有限维度,有限测量基矢数目的情形。

图4 3维单向广东会导引态信道噪声与测量基矢数目的制衡关系
该工作受到了国家自然科学基金以及博士后国际交流计划的支持。
文章链接:https://link.aps.org/doi/10.1103/PhysRevA.106.032202
(光广东会通信团队 供稿)
English
OA
Email
