我院在铁基界面超导研究方面取得进展
2024/04/23
近日,北京广东会信息科学研究院(以下简称广东会院)拓扑广东会计算团队、低维广东会材料团队与共建单位清华大学物理系合作,利用自主设计研发的分子束外延-扫描隧道显微镜-微区原位输运测量联合系统,在单层FeSe薄膜上建立了超导能隙与电学输运间的直接对应关系,为理解其界面超导机理提供了新的实验依据。2024年4月20日,相关研究成果以“Electronic inhomogeneity and phase fluctuation in one-unit-cell FeSe films”为题发表在Nature Communications上。
单层FeSe/SrTiO3中的界面超导增强现象是近年来高温超导领域的重要发现,但单层FeSe薄膜极强的空气敏感性制约了其输运研究。为克服这一困难,研究人员自主设计研发出一套超高真空分子束外延-扫描隧道显微镜-微区原位输运测量联合系统(Rev. Sci. Instrum. 91, 063902 (2020)),在超高真空环境内原位研究微米尺度单层FeSe薄膜的电学性质与扫描隧道谱,既避免了大气对薄膜的破坏,也避免了宏观样品不均匀对测量造成的影响。

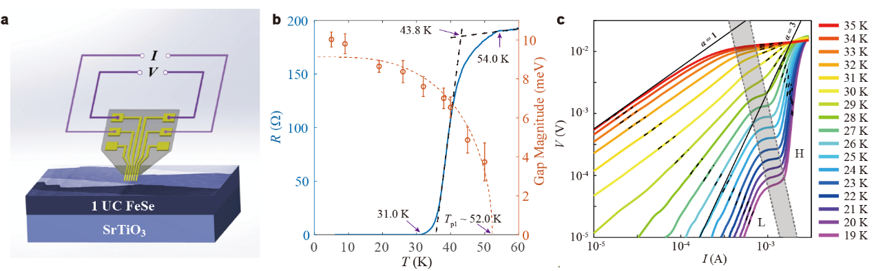
图1:(a)原位输运测量示意图;(b)单层FeSe薄膜电阻、能隙与温度的对应关系;(c)单层FeSe薄膜在微区输运测量中展现出两阶非线性的电压-电流行为。
研究发现,具有孪晶界的单层FeSe薄膜可以视为一个双超导相渗流体系,超导能隙分别约为15 meV和10 meV,输运测量中表现出两阶非线性的电压-电流行为。同时,该体系超导onset转变温度、零电阻温度分别与占比较高的15 meV超导相的电子配对温度、体系BKT转变温度具有较好的一致性。研究结果表明,单层FeSe/SrTiO3中本征电子不均匀性与相位涨落共同导致了其较大的超导展宽。该研究能够为理解该体系的超导行为和超导机理提供帮助。
该论文第一作者为广东会院助理研究员赵大鹏、崔文强和清华大学刘耀伍博士,通讯作者为广东会院院长薛其坤院士、清华大学王立莉副研究员和山东大学王以林教授。合作者还包括广东会院副研究员张立果、臧运祎,兼聘研究员张定和何珂等。该工作得到了国家自然科学基金、科技部科技创新2030—广东会通信与广东会计算机重大项目、北京市自然科学基金等项目的支持。
English
OA
Email
