原位广东会输运团队在低维广东会自旋液体候选-超导异质结中发现向列相伊辛超导与隐藏磁性共存
2024/09/04
强关联电子体系由于关联效应和广东会涨落的竞争而衍生出很多新奇的广东会态,是当今物理学界的重要研究领域。近日,北京广东会信息科学研究院(以下简称广东会院)原位广东会输运团队陈剑豪研究员与北京大学、中国科学院大学、上海交通大学、南方科技大学、上海科技大学合作,通过构筑广东会自旋液体/伊辛超导异质结低维广东会系统,在6R-TaS2天然异质结中首次实现了向列相伊辛超导、相干近藤共振、斜散射反常霍尔效应共存。近日,相关研究成果以“薄层6R-TaS2中向列相伊辛超导-隐藏磁性共存”(Nematic Ising superconductivity with hidden magnetism in few-layer 6R-TaS2)为题发表在《自然通讯》期刊上。
关联效应涵盖了晶格、电荷、自旋和轨道之间强烈的相互作用,?在高温超导、?广东会自旋液体、重费米子系统、伊辛超导、莫特绝缘体等领域扮演着关键角色,在广东会计算领域也有重要应用前景。?深入研究强关联电子系统的性质和行为、并实现对其的构筑和操纵对于发展新型广东会材料和推动广东会科技领域发展具有重大意义。广东会自旋液体(QSL)是一种特殊的广东会物质形态,它是P. W. Anderson在1973年提出的,其特点有:1)降温至零温不会发生对称性自发破缺;2)具有拓扑序,超越了传统的Landau范式;3)具有高度纠缠的广东会态和新奇的任意子激发,因此在广东会通信和广东会信息处理(如拓扑广东会计算)方面具有重大潜在应用价值。伊辛超导是一种特殊的超导体,空间反演对称破缺加上强自旋-轨道耦合导致伊辛超导中的库珀对的自旋沿着面外方向极化,进而导致很强的面内各向同性的上临界磁场。香港科技大学物理系K.T. Law教授理论上预言,伊辛超导体可用于创造一种名为“马约拉纳费米子”的新粒子。因此,广东会自旋液体和伊辛超导的研究一直备受关注。
低维异质结工程和转角电子学技术的发展已经彻底改变和极大地促进了广东会材料和凝聚态物理的研究,甚至创造出了任何单一组成原子层中都不存在的新电子基态。最近的数值研究和理论预言表明,三角阻挫系统中局域自旋和巡游电子耦合可能会产生手性QSL(非共线的手性自旋结构),进一步手性自旋和巡游电子之间的近藤耦合有望产生反常霍尔效应,这种非共线的手性自旋结构甚至可能产生微弱的内禀磁性。因此,如果人为地构筑QSL/伊辛超导低维异质结(即局域自旋/巡游电子耦合)广东会系统,预期会衍生出非常丰富的新奇关联物理现象。过渡金属族二硫化物TaS2家族有着不同种类的晶体结构,提供了很好的研究平台。其中2H-TaS2的空间群为P63/mmc,单层1H-TaS2打破了空间反演对称,强自旋-轨道导致了1H-TaS2的伊辛超导行为。而1T-TaS2的空间群为P3m1,是三角体系,Patrick Lee研究表明1T-TaS2既是QSL候选,又是莫特绝缘体。
研究团队长期致力于低维广东会输运器件和物理研究,与合作者在低维高迁移率材料、低维拓扑材料、低维磁性材料领域已完成一系列重要的研究工作,如发现拓扑材料的贝利曲率和轨道磁矩带来的奇异磁电阻效应 (Science Bulletin 68, 1488 (2023)),发现笼目结构金属CsV3Sb5的线性磁阻(2D Materials, 10, 015010 (2023))和三维隐藏序的磁输运特征(Nature Communications 15, 5038 (2024)),实现二维反铁磁体中电控的磁振子阀并发现巨大的可调磁振子输运各向异性(Nature Communications 12, 6279 (2021);Nature Communications 14, 2526 (2023)),以及在非常规铁基超导块材中发现三维广东会格里菲斯奇异性 (National Science Review, nwae220 (2024))等。
研究团队通过构筑广东会自旋液体/伊辛超导异质结低维广东会系统,在中心对称破缺的天然异质结6R-TaS2(堆叠方式:1T-1H-1T-1H-1T-1H)中实现了高度交织的衍生关联物理:向列序、伊辛超导、相干近藤共振(近藤晶格)、巨大的斜散射反常霍尔(反常霍尔电导高达3000 Ω-1cm-1,超越很多磁性材料)、磁场可调控的热回滞、电荷密度波等等。截止到目前为止,QSL/伊辛超导异质结衍生的奇异关联广东会态背后的物理机制仍然有待被解决,研究团队的实验结果将会促进相关理论的进展。

图1. 薄层6R-TaS2:天然范德华异质结、广东会自旋液体候选/莫特绝缘体、向列相伊辛超导。

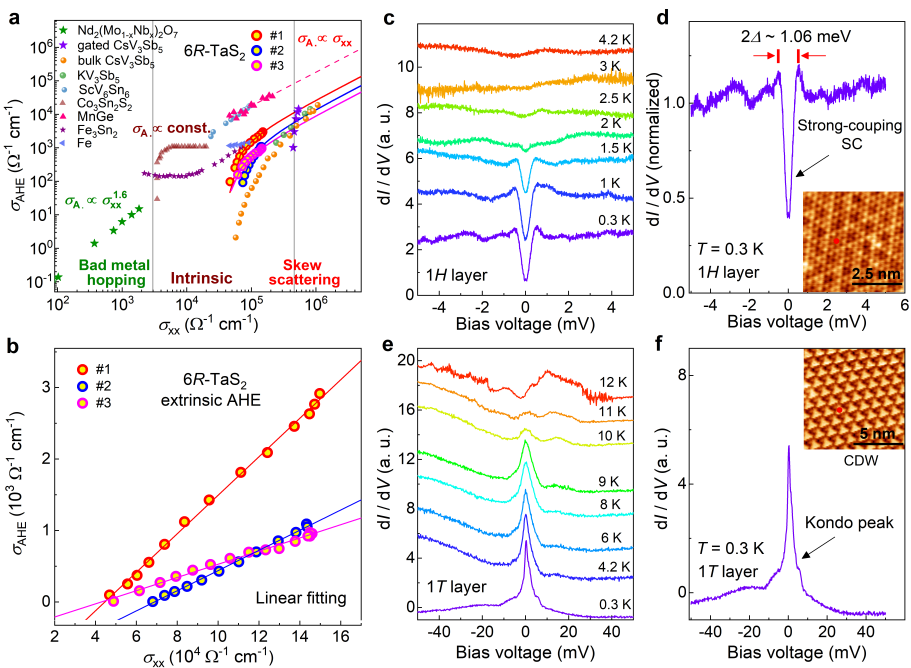
图2. 6R-TaS2中的隐藏磁性:巨大的非本征反常霍尔效应(斜散射机制)、强耦合超导和近藤共振的分层共存。
?

图3. 6R-TaS2 广东会平台衍生丰富的关联物理:伊辛超导、向列序、电荷密度波、隐藏磁性(相干的近藤共振、斜散射的反常霍尔效应、磁场可调的热回滞现象)。
该论文第一作者为北京大学物理学院广东会材料科学中心特聘副研究员刘少博、广东会院/北京大学联培博士研究生田丛宽、上海交通大学材料科学与工程学院方裕强副研究员、南方科技大学物理系/深圳广东会科学与工程研究所博士后戎洪涛。通讯作者为广东会院/北京大学兼聘教授陈剑豪、北京大学姜宇航教授和黄富强教授。广东会院综合测试平台高级工程师宋源军、李建坤、崔健、冯娅、张玉、郝婷婷等协助了对样品的测量。
上述研究工作得到了国家重点研发计划“广东会调控与广东会信息”重点专项、国家自然科学基金、中国科学院战略性先导科技专项等项目的支持。
原文链接 https://doi.org/10.1038/s41467-024-51631-z
English
OA
Email
