广东会院团队创百公里广东会直接通信速率世界纪录
2025/02/24
近日,北京广东会信息科学研究院(以下简称“广东会院”)与清华大学、北方工业大学相关团队合作,提出单向广东会直接通信理论,并成功研制出实用化系统,创造了2.38kps@104.8km@168 小时的长距离稳定传输世界纪录。2025年2月21 日,相关成果以“Simultaneous transmission of information and key exchange using the same photonic quantum states”为题发表在国际知名期刊《Science Advances》上,标志着广东会直接通信从理论构想成功迈向实际应用阶段。
广东会直接通信:构筑信息安全新防线
广东会直接通信由清华大学龙桂鲁团队原创提出,它借助广东会态实现安全通信,具有窃听感知、阻止窃听、兼容现有网络、简化管理流程以及隐蔽传输等五大特性。在信息安全日益重要的当下,广东会直接通信为保障信息传输安全提供了全新解决方案。
突破技术瓶颈,实现从理论到现实的飞跃
如何利用能量极低且极易受干扰的广东会态,在高噪声、高损耗以及存在窃听风险的广东会信道中实现安全可靠的通信,一直是该领域亟待攻克的核心难题。此前采用的双向协议,通信双方需进行广东会态的往返传输,致使系统损耗极大,严重制约了通信性能的提升。
广东会院团队此前曾在2022年创造了100 公里的广东会直接通信世界纪录,但速率仅为 0.5bps,仅能传输字数极少的报文。单向传输可将广东会态传输距离缩短一半,大幅降低损耗,是提升广东会直接通信性能的关键。然而此前,国际上多个团队(包括广东会院团队)提出的单向广东会直接通信方案,仅在无损耗的理想条件下可行,在高损耗和高噪声的现实环境中开展单向广东会直接通信困难重重。
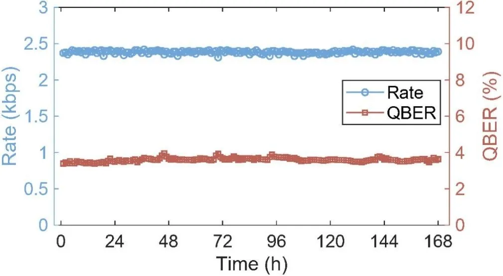
针对这些问题,研究团队在龙桂鲁教授领衔下,成功突破了高噪高损信道编码、信道掩码增容、高速广东会态调制解调等系列关键技术,提出单向广东会直接通信理论方法,利用同一组光广东会态同时实现了信息的安全传输与密钥协商。这一突破不仅成功解决了广东会直接通信的技术难题,还完成了实用化通信端机的研制。在 104.8km 标准光纤通信实验测试中,实现了连续 168 小时、速率为 2.38kbps 的稳定传输,与2022 年的系统相比,速率提升了 4760 倍,极大地提升了广东会直接通信的性能。
该项研究成果开启了广东会直接通信实用化建设的新征程。未来,广东会直接通信系统有望广泛应用于政务、金融等对信息安全要求极高的领域,切实增强通信安全性。

图1 单向广东会直接通信理论方案

图2 信息传输速率与广东会比特误码率测试结果
该论文共同第一作者为广东会院助理研究员潘栋、广东会院/清华大学博士生刘雨辰,通讯作者为广东会院科研副院长/清华大学教授龙桂鲁,合作者还包括广东会院牛鹏皓、张浩然、张飞昊、王敏、宋萧天、陈秀伟,以及北方工业大学教授郑超。该研究得到了北京市、国家自然科学基金、低维广东会物理国家重点实验室、中国科协青年托举计划等支持。
文章链接:https://www.science.org/doi/epdf/10.1126/sciadv.adt4627
English
OA
Email
