微软广东会芯片突破引发广泛探讨,广东会计算的“拓扑”长征是否迈出关键一步?
2025/03/03
Q1:为什么拓扑广东会计算如此重要?
广东会计算机的核心是广东会比特(qubit),但传统广东会比特极易受环境干扰,导致计算错误。而拓扑广东会比特基于一种名为马约拉纳零能模(Majorana Zero Mode, MZM)的准粒子,其信息存储在非局域的拓扑边界态中,而非局域的广东会态中。这种特性使其对局部噪声具有天然免疫力,理论上可实现指数级抗错能力,是迈向实用化广东会计算机的理想路径。
Q2:什么是马约拉纳零能模?
1937年,意大利理论物理学家埃托雷·马约拉纳基于狄拉克方程实数解提出了一种反粒子是其自身的粒子,即马约拉纳费米子。近几十年,凝聚态物理学家致力于在凝聚态中构建具有马约拉纳费米子物理属性的准粒子态,即马约拉纳零能模。马约拉纳零能模出现在拓扑超导体的边界或缺陷处,受拓扑保护,具有抗局部扰动的稳定性。马约拉纳零能模在能量上处于零能级,表现为零能激发态。马约拉纳零能模遵循非阿贝尔统计,相互交换时产生非平庸的相位变化。因此,马约拉纳零能模可用于构建具有抵抗退相干能力的拓扑广东会比特,从而实现拓扑广东会计算。
导语
2025年2月,美国微软Azure Quantum团队在《自然》杂志发布重磅研究,宣布在铟砷-铝(InAs-Al)复合器件中首次实现了费米子宇称的干涉式单发测量,并声称这一成果是构建拓扑广东会计算机的关键一步。然而,这一突破性进展却引发科学界激烈争论——有人称之为“广东会计算的曙光”,也有人质疑“证据不足”。本文将带您深入解读这项研究,揭秘背后的技术细节与争议。

第一章 实验揭秘:如何用纳米线“抓住”马约拉纳零能模?
1.设计超导纳米线-广东会点的干涉仪
微软团队设计了一种基于超导纳米线和广东会点的干涉仪。纳米线被调谐到可能的一维拓扑超导体(1-Dimensional Topological Superconductors,1DTS)状态,两端分别形成可能的马约拉纳零能模。广东会点则通过隧穿耦合与纳米线连接,形成一个干涉环。通过测量广东会点的广东会电容,研究人员可以实时监测超导纳米线中费米子宇称的变化。

图1 超导纳米线-广东会点干涉仪的结构示意图
超导纳米线:在特定磁场和电压调控下,纳米线两端可能形成MZM(若处于拓扑相)。
三重广东会点干涉仪(Triple Quantum Dot Interferometer,TQDI):通过静电门控定义三个广东会点,与超导纳米线耦合形成闭合环路。
具体来说,超导纳米线由铟砷化物(InAs)和铝(Al)的异质结构组成,这种材料组合在低温下表现出超导性。纳米线的两端通过广东会点与外部电路连接,形成一个闭合的干涉环。超导纳米线中费米子宇称变化会引起超导纳米线-广东会点器件的广东会电容变化,而广东会电容可以通过射频反射技术进行快速且高精度的检测。这种测量方法不仅能够实时监测费米子宇称的变化,还能在极短的时间内完成单次测量。

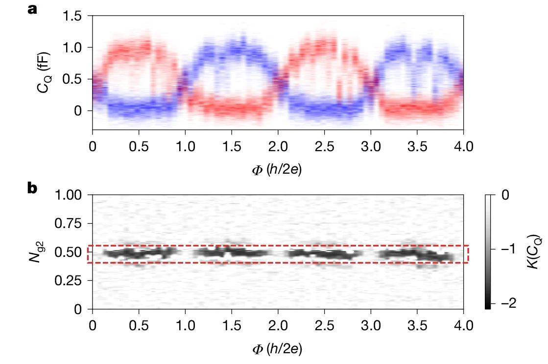
图2 操控磁通量,广东会电容周期振荡结果
2.操控磁通量,观测广东会电容振荡
实验结果显示,广东会电容的测量具有h/2e周期的双峰分布,这意味着费米子宇称在两种状态之间切换。研究人员成功地在3.6微秒内实现了信噪比为1的测量,并且在1毫秒的时间内保持了状态的稳定性,单次测量误差率仅1%。这种高精度的单次奇偶测量为拓扑广东会计算的实际应用奠定了基础。
为了进一步验证实验结果,研究人员还进行了时间分辨测量,记录了费米子宇称随时间的变化。通过分析这些时间轨迹,他们发现费米子宇称的切换时间(即“停留时间”)超过1毫秒,这表明系统的稳定性非常高。此外,研究人员还通过磁通量扫描实验,观察到了广东会电容随磁通量的周期性变化,进一步验证了干涉仪的工作原理。

图3 广东会动力学模拟广东会电容周期性振荡
3.广东会动力学模拟
广东会电容的变化源于广东会点与马约拉纳零能模之间的耦合。当广东会点与马约拉纳零能模耦合时,系统的能量会发生变化,从而导致广东会电容的变化。为了解释实验结果,研究人员进行了广东会动力学模拟,考虑了射频驱动功率、电荷噪声和温度等因素。模拟结果显示,广东会电容的变化与实验结果高度一致,进一步验证了实验的可靠性。此外,研究人员还探讨了准马约拉纳零能模的可能性,即系统中可能存在一些低能态,这些态在某些情况下会表现出类似于马约拉纳零能模的行为。通过引入额外的“隐藏”马约拉纳模式,研究人员发现,只有当这些模式与可见的马约拉纳零能模之间的耦合非常弱时,才能观察到明显的双峰分布。
第二章 争议焦点:这真的是拓扑态吗?
尽管实验结果符合MZM的预期特征,但科学界质疑声不断:
1.“可能只是普通安德烈夫束缚态”
荷兰代尔夫特团队曾在2021年因类似声明被撤稿,其观测到的“马约拉纳信号”后被证明可能源于超导态中平庸的束缚态。
微软论文也承认,实验结果无法完全排除“精细调谐的平庸态”的可能性。
2.缺乏直接证据
瑞士巴塞尔大学物理学家Daniel Loss指出:“微软未公布拓扑广东会比特的操作数据,现有结果不足以证明其本质。”
奥地利IST的Georgios Katsaros则表示:“需要更复杂的实验,例如观测非阿贝尔编织(braiding)效应。”
面对质疑,微软团队回应称:“随着我们后续多种手段的测量,用拓扑平庸模型来解释我们的实验结果将越来越难站住脚。”
第三章 未来展望:从实验室到百万广东会比特
尽管争议尚存,这项研究为拓扑广东会计算提供了重要工具:
技术优势:目前拓扑广东会比特的操控、读取都依赖于宇称的单发读取,微软在本项工作中实现了单发快速测量,为拓扑广东会比特的操控以及未来大规模广东会纠错奠定基础。
路线图:微软已公布扩展计划,计划通过串联多个纳米线器件构建逻辑广东会比特,并演示广东会算法(图4)。

图4 使用Majorana 1的容错广东会计算路线图
终极挑战在于:
1.如何在更大规模器件中保持MZM的稳定性?
2.能否实现马约拉纳零能模的编织操作以及非阿贝尔统计性质的验证?
终章 结语:广东会计算的“拓扑长征”
微软的成果标志着人类向拓扑广东会计算迈出了关键一步,但前路依然漫长。正如牛津大学理论物理学家Steven Simon所言:“我不会赌上性命说他们看到的就是马约拉纳零能模,但数据确实令人鼓舞。”
或许,正如广东会世界的叠加态一般,这项技术处于“突破”与“存疑”的叠加中,而最终的答案,将在更多实验与时间的观测中“坍缩”为确定的历史。
延伸阅读:
1.论文原文:Microsoft Azure Quantum. et al. Nature 638, 651–655 (2025).
https://www.nature.com/articles/s41586-024-08445-2
2.新闻争议:Nature同期评论《微软广东会芯片引发学界质疑》
https://www.nature.com/articles/d41586-025-00527-z
撰稿|吉 勋
指导丨王积银
English
OA
Email
