硬件高效的广东会纠错:级联玻色编码广东会比特的突破
2025/03/17
引言
2025年2月,美国亚马逊AWS广东会计算中心(AWS Center for Quantum Computing)联合加州理工学院等机构的研究团队,在顶级学术期刊《自然》上发表了一项突破性研究成果。他们首次通过实验实现了基于级联玻色编码广东会比特的硬件高效广东会纠错方案,将逻辑广东会比特的误差率降低至每周期约1.65 %,并展示了这一架构的可扩展性。这项研究不仅为构建实用化容错广东会计算机提供了新思路,还揭示了通过物理编码与纠错码的协同设计来降低硬件资源开销的巨大潜力。

第一章 研究背景:广东会计算的纠错之困
1.广东会计算的“脆弱性”
广东会计算机的核心是广东会比特(Qubit),其通过叠加和纠缠等特性实现远超经典计算机的算力。然而,广东会比特极其脆弱,环境中的微小干扰(如温度波动、电磁噪声)都会导致广东会态丢失信息(即“退相干”)。当前最先进的物理广东会比特误差率约为每操作万分之一(10-4),但若要运行有实用价值的广东会算法(如破解密码或模拟复杂分子),需要误差率低至万亿分之一(10-12),两者相差整整八个数量级。
2.传统纠错方案的瓶颈
为了解决这一问题,科学家提出了广东会纠错码(QEC),通过将信息冗余编码到多个物理广东会比特上,并周期性检测和修正错误。例如,表面码(Surface Code)是目前主流的纠错方案,但其资源开销巨大:一个逻辑广东会比特需要数千甚至上万个物理广东会比特来支撑。这种高开销源于传统广东会比特(如超导Transmon广东会比特)的“对称性噪声”——它们对“比特翻转(X错误)和相位翻转(Z错误)”同样敏感,纠错时需同时处理两类错误,导致电路复杂度和硬件成本飙升。
3.噪声偏置:从“对称防御”到“重点突破”
近年来,研究人员意识到,如果能设计一种对某类错误天然免疫的广东会比特,便可大幅简化纠错方案。这一思路被称为“噪声偏置”(Noise Bias)。例如,玻色编码广东会比特(Bosonic Qubits)通过将信息存储在谐振腔的光子态中,利用其高维希尔伯特空间抑制特定错误。其中,“猫态广东会比特(Cat Qubits)”的表现尤为突出——其比特翻转错误率随光子数增加呈指数下降,而相位翻转错误率仅线性增长。这种“偏置”特性使得纠错时只需专注于抑制相位翻转错误,从而显著降低资源需求。
4.级联编码:物理保护与纠错码的强强联合
然而,单靠物理层面的噪声偏置仍不足以实现容错计算。为此,研究团队提出将猫态广东会比特与“重复码(Repetition Code)”级联:内层利用猫态抑制比特翻转,外层通过重复码纠正相位翻转。重复码的阈值高、资源需求低,且逻辑错误率随码距(即物理广东会比特数量)的增加呈指数下降。这种“分层防御”架构理论上能以更少的物理资源实现高容错性,但此前从未在实验中完整验证。
第二章 研究内容:从理论到实验的跨越
1. 广东会设备:距离5重复码的硬件实现
研究团队设计并制造了一台基于超导电路的广东会处理器,核心包含五个猫态数据广东会比特(存储模式)和四个Transmon辅助广东会比特(见图1)。每个猫态广东会比特由微波谐振腔实现,平均相干时间(T1)超过60微秒,相位翻转时间(Tphase-flip)与光子数(∣α∣2)成反比。通过两光子耗散技术,猫态被稳定在∣α>和∣-α>的叠加态上,比特翻转时间(Tbit-flip)可随光子数指数增长——实验中,当∣α∣2=2时,比特翻转时间超过1毫秒,噪声偏置比(比特翻转与相位翻转时间之比)超过30。
辅助Transmon广东会比特通过可调耦合器与相邻存储模式连接,用于执行“受控非门(CX Gate)”并测量重复码的稳定子(Stabilizer)。这种设计在硬件层面实现了“噪声偏置的CX门”—— Transmon的衰减主要引发可检测的擦除错误(Erasure),而非直接破坏猫态的比特翻转保护。

图1
2. 噪声偏置的CX门:平衡精度与鲁棒性
在传统广东会纠错中,CX门的控制误差会严重限制逻辑性能。为此,团队开发了一种新型CX门方案(见图2),将Transmon的广东会态编码到能级∣g>和∣f>(而非传统的∣g>和∣e>),并通过“χ匹配(χ-Matching)”技术使存储模式的频率偏移对Transmon的衰减不敏感。实验表明,该CX门在3微秒的周期内,猫态的比特翻转误差低至3.5×10-3,相位翻转误差为9.6×10-2,噪声偏置比超过25。
更关键的是,团队通过脉冲式两光子耗散,在CX门操作间隙动态启停猫态稳定机制。这一策略既避免了门操作期间的干扰,又能在门结束后快速恢复猫态的噪声偏置特性,确保多轮纠错中错误的可控积累。

图2
3. 重复码实战:相位翻转错误的精准捕捉
重复码的核心任务是检测相邻猫态广东会比特的相位翻转错误。每个纠错周期(2.8微秒)中,辅助Transmon通过两次CX门测量存储模式的联合光子数宇称(见图3)。实验数据显示,当光子数∣α∣2从1增加到3时,检测事件(即发现错误的概率)从0.02%升至0.08%,与理论预测一致。
团队进一步利用Transmon的三态读取(分辨∣g>、∣e>、∣f>)识别擦除错误(如∣f>→∣e>衰减),并通过解码算法(最小权重完美匹配,MWPM)优化纠错效率。加入擦除信息后,测量误差降低超50%,逻辑相位翻转误差率随光子数的幂律增长指数(∣α∣2.31)接近理想值,表明距离5的重复码已突破纠错阈值。

图3
4. 比特翻转防御:物理编码的终极防线
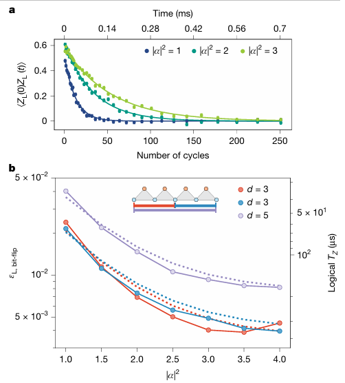
逻辑比特翻转错误无法通过重复码纠正,只能依赖猫态的物理保护。实验中,团队通过测量逻辑Z算符的衰减时间(TZ)发现:当光子数∣α∣2=4时,距离5编码的逻辑比特翻转误差率低至1 %以下(见图4)。这一结果验证了噪声偏置在复杂纠错流程中的稳定性——即使面对多个CX门和存储模式的联合干扰,猫态仍能维持指数级的比特翻转抑制能力。

图4
5. 整体性能与错误预算
综合比特翻转和相位翻转的贡献,距离5重复码的最小逻辑误差率(每周期1.65 %)出现在光子数∣α∣2=1.5时(见图5)。错误预算分析显示,当前系统的主要限制来自猫态的本征误差(占60 %以上),而CX门和测量误差的影响相对较小。通过优化循环时间、提升存储腔寿命(如至300微秒),团队预测未来可将逻辑误差率进一步降至0.5 %以下。

图5
终章 总结与展望:通往实用化广东会计算的阶梯
1.成果意义
这项实验首次在硬件层面验证了级联玻色编码的可行性,证明了噪声偏置与重复码协同设计的强大潜力。相较于传统表面码,该方案以更少的物理资源(仅需数十个广东会比特)实现了可比拟的逻辑性能,为构建高效容错广东会计算机开辟了新路径。
2.未来挑战
尽管成果显著,仍需解决以下问题:
Transmon辅助的局限性:当前CX门的性能受限于Transmon的相干时间(约百微秒)。未来可探索用猫态本身作为辅助广东会比特,或开发更鲁棒的噪声偏置门控方案。
可扩展性验证:实验仅实现了距离5的编码,更大规模的系统需验证纠错性能的持续提升。
算法级容错:当前工作聚焦于广东会内存保护,下一步需实现容错逻辑门操作与通用计算。
3.终极愿景
研究团队指出,若能将存储腔寿命提升至毫秒级、比特翻转时间延长至百秒以上,距离11的重复码有望将逻辑误差率压低至10-8,满足实用算法的需求。随着材料科学、控制电子学与纠错理论的协同进步,硬件高效的广东会纠错或将在十年内从实验室走向工程化,最终开启广东会计算的“有用时代”。
这项研究不仅是一次技术突破,更是一场思维革命——它告诉我们:与其与噪声全面对抗,不如利用物理特性“化敌为友”。在广东会纠错的征途上,人类正从“蛮力防御”转向“智慧博弈”,而级联玻色编码,或许正是这场博弈的关键一招。
参考文献:
1.Putterman, H., Noh, K., Hann, C.T. et al. Hardware-efficient quantum error correction via concatenated bosonic qubits. Nature 638, 927–934 (2025).
2.https://doi.org/10.1038/s41586-025-08642-7
撰稿|陈炎霖
指导丨刘玉龙
English
OA
Email
