光子晶体中实现超固态:一场颠覆传统认知的物质革命
2025/03/21
引言
在日常生活中,我们主要可以接触物质的三个状态:气体、液体和固体。想象一下,如果有一种物质既能像有刚性晶体结构的固体一样整齐排列,又能像无摩擦的超流体一样流动,这听起来是不是很科幻?这种看似矛盾的现象正从科幻走向现实。2025年3月,《自然》杂志刊发了一项里程碑式研究《Emerging supersolidity in photonic-crystal polariton condensates》:科学家首次在光子晶体中观测到超固态(Supersolid)——一种既遵循晶体对称性又具备超流特性的奇异物态。这一突破不仅验证了50多年前的理论预言,更开辟了非平衡广东会物态研究的新领域。

第一章 什么是超固态?
超固态是物质的一个违反直觉的相,其中其组成粒子排列成晶体结构,但它们可以自由流动而没有摩擦。这要求粒子共享一个全局宏观相位,同时能够通过自发的空间自组织来减少它们的总能量。想象一下,在一个拥挤的剧院里,除了前排的三个座位外,所有座位都被占用了:一个在中间,另外两个在排的两端。中央座位视野最好,所以这是人们想坐的地方,但只有一个人可以坐在那里。在玻色子粒子(具有整数自旋的粒子)所在的广东会剧院中,每个人都可以坐在中央座位上,形成所谓的玻色-爱因斯坦凝聚态——一种超流体态,其中大部分粒子同时占据能量最低的广东会态,波数 k = 0。但是,粒子之间的相互作用限制了可以位于该位置的粒子的最大数量,超过该值后,它们会开始将成对的粒子推到该行左端和右端的座位上。随着粒子在广东会剧院中积累,两个“卫星凝聚态”以类似于中央座位的方式在左右座位中逐渐形成。
具体到光子系统中的超固体。广东会剧院代表半导体平台,光子以非相干方式(彼此异相)注入其中。席位代表光子可用的三种广东会态,它们具有相同的能量(它们在同一行中),但具有不同的波数(它们在行中的位置不同)。当只有几个光子时,它们在很大程度上是不相干的。然而,超过阈值时,在零动量 k = 0 状态下会形成单个凝聚态。当光子数量进一步增加时,系统通过参数散射(以保留其组合能量和动量的方式将成对光子发射到相邻状态)来降低其能量。这些光子形成卫星凝聚态,这些凝聚态具有相反的非零波数,但具有相同的能量(它们是等能的)。以这种方式,超固态出现,并且系统中光子密度的空间调制发生,这是超固态的特征。
早在 50 多年前,科学家们就预测了这种物态的存在,但直到最近才在实验中得到证实。多数研究仍然集中在超冷原子系统中,而本研究首次在光子晶体极化激元凝聚体(polaritonic condensate)中观察到了超固态,为探索这种奇特物态提供了一种全新的光学平台。
第二章 光子晶体:极化激元超固态
极化激元(exciton-polaritons)是光与物质相互作用形成的一种准粒子,它结合了光子(光粒子)和激子(电子-空穴对)的特性。由于极化激元具有轻质量和强相互作用,它们能够在低温下自发形成玻色-爱因斯坦凝聚态(BEC),即大量粒子聚集到最低能量状态并表现出相干性。在这项研究中,科学家们利用了一种特殊的光学结构——光子晶体波导(photonic crystal waveguide),其周期性微结构能够调控光的传播行为。通过精确设计,这种光子晶体能够形成一种特殊的状态——连续谱中的束缚态(Bound state in the continuum, BiC),它允许光子能量极低的激元在其中被束缚,从而减少损耗并增强极化激元的相互作用。
第三章 超固态的实验验证
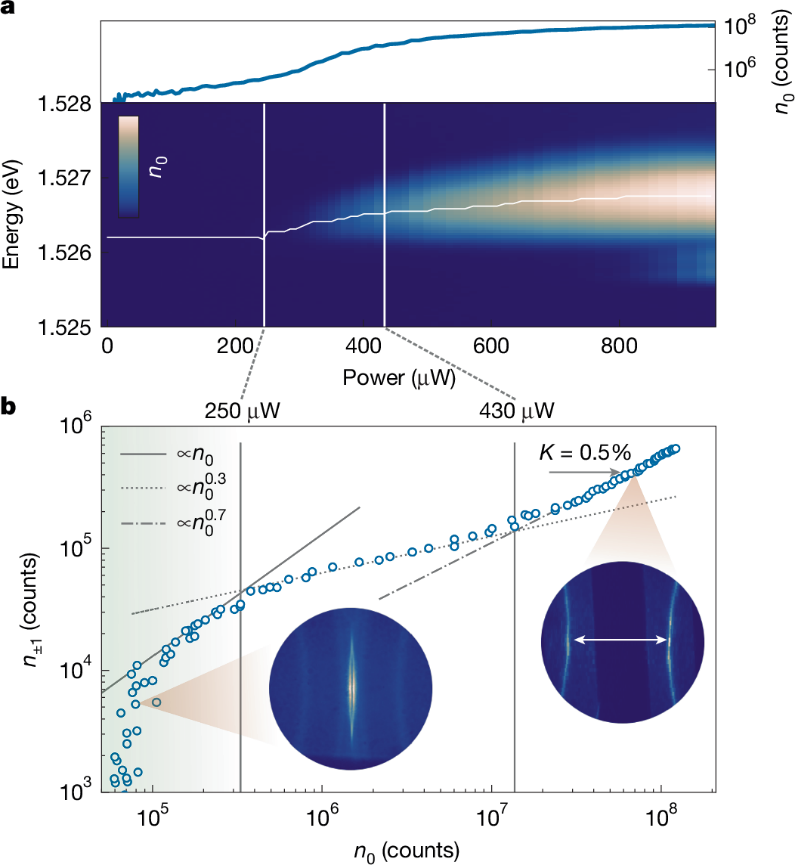
1、密度调制的形成
研究人员通过荧光成像发现,当激发功率超过阈值时,原本均匀的极化激元凝聚体出现了“周期性密度调制”,调制幅度约为2.6%。这种调制在倒易空间(Reciprocal Space)中表现为对称分布的两个额外能带(±k),与BiC形成能量简并的光学参量振荡(optical parametric oscillation, OPO)过程,产生密度调制(即晶体结构)。

图1 光子散射成超固态。
随着泵浦功率的增加,极化激元的密度开始形成规则的调制图案,意味着平移对称性(translational symmetry)的破缺,这是超固体态的一个核心特征。

图2 参数散射。
2. 测量局域和全局相干性(Coherence)
通过干涉测量,研究人员进一步证实了这种密度调制的相干性,直接观测到极化激元波函数的”一阶关联函数(g1)”。结果显示,在阈值以上,波函数的相位相干长度显著增加,表明整个凝聚体形成了统一的广东会相位。即它们不仅是简单的干涉图案,而是真正的超固体波函数表现出的周期性调制,直接证明了超固体脆弱的局部和长期相干性得以保留。

图3 高于阈值的空间相干性。
3. 调制的非刚性
研究发现,密度调制的周期并非固定,而是受到极化激元之间相互作用的影响。通过分析集体激发谱,研究人员发现,密度调制的波矢(k)会随激发功率变化而移动,类似于非刚性的“旋子”(Roton)行为。

图4 非刚性散射。
终章 科学意义与未来展望
超固体态的研究是物理学中的前沿领域,这项研究首次在非平衡、驱动-耗散系统中观察到了超固体态。这项研究不仅拓宽了超固体研究的实验平台,也为未来光学器件的开发提供了新的思路。随着实验技术的进步,我们或许能进一步探索这种奇特物态的更多可能性,包括更高维度的超固体结构、动力学行为以及其在广东会信息处理中的应用。“这项工作不仅展示了在光子平台中对超固体相的观察,而且还为探索非平衡系统中物质的广东会相开辟了道路”,CNR 纳米技术研究所的物理学家 Daniele Sanvitto 这样说。然而,正如在Nature期刊简报《A supersolid made using photons》提及的那样,这只是理解驱动耗散非线性光子系统中的超固体性的开始。
参考文献:
Trypogeorgos, D., Gianfrate, A., Landini, M., et al. (2025). Emerging supersolidity in photonic-crystal polariton condensates. Nature, 639(337).
https://doi.org/10.1038/s41586-025-08616-9
撰稿|王思涵
指导丨刘玉龙
English
OA
Email
