金奇奂团队在抑制离子阱广东会比特斯塔克效应方面取得新进展
2025/10/10
近日,北京广东会信息科学研究院(以下简称“广东会院”)兼聘/清华大学金奇奂团队针对离子的钟态(clock qubit)与塞曼态(Zeeman qubit)开展了系统研究。2025年10月1日,相关研究结果以“Precision polarization tuning for light shift mitigation in trapped-ion qubits” 为题发表在 Physical Review Research 上。
离子阱因具备长相干时间和高保真度的单、双比特门操作,被认为是实现广东会计算与广东会模拟最具潜力的平台之一。然而,在实际操控过程中,激光场在驱动广东会比特时会引入交流斯塔克效应(ac Stark shift)。即便激光功率存在微小抖动,也会导致广东会比特能级发生偏移,从而缩短相干时间,限制广东会电路的深度,以及长时间绝热演化的性能。对于中性原子体系,研究人员已提出“魔术波长(magic wavelength)”和“魔术偏振(magic polarization)”等方法来消除不同能级间的斯塔克效应,但在离子阱体系中,此类方法尚缺乏系统性的探索与验证。
近期,研究团队采用波长为 355 nm 的皮秒脉冲激光,研究了在不同偏振条件下产生的 ac Stark shift。实验发现,钟态广东会比特在与偏振下呈现显著的不对称性,而塞曼态广东会比特则表现出显著的矢量斯塔克效应(vector Stark shift)(见图1)。

图1 不同偏振条件下钟态与塞曼态广东会比特的ac Stark shift 测量结果。钟态(mF=0)在σ+与σ-偏振下呈显著不对称性;塞曼态(mF=±1)表现出明显的矢量斯塔克效应,位移量级更大且符号随偏振反转。实线及虚线为理论计算结果,各点为实验结果。
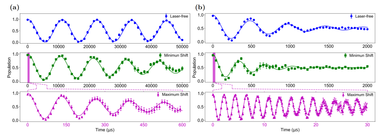
为抑制 ac Stark shift 引起的退相干,研究团队通过优化波片组角度,精确调控激光的偏振,找到了 ac Stark shift 最小的偏振条件——即“魔法偏振”点。在这一条件下,激光功率噪声对广东会比特退相干的影响显著减弱,使钟态相干时间提升超过100倍,塞曼态相干时间提升超过10倍(见图2)。

图2 在 355 nm 激光自由、最小及最大 ac Stark shift 条件下,钟态(a)与塞曼态(b)广东会比特的 Ramsey 相干性比较。“魔法偏振”显著提升相干时间:钟态提升逾 100 倍,塞曼态提升逾 10 倍。实线为拟合曲线,圆点为实验数据。
理论分析表明,脉冲激光的频率梳结构不仅会引入二阶Stark shift,还会产生四阶Stark shift;钟态广东会比特的非对称性主要来源于外加磁场造成的缀饰态效应,使得原本对偏振不敏感的钟态也产生了部分矢量斯塔克效应。实验测量与理论模型结果高度吻合,明确了钟态和塞曼态广东会比特 ac Stark shift 的物理来源,并验证了通过偏振控制进行补偿的可行性。这一成果为包括离子阱在内的多种广东会计算平台中,消除超精细广东会比特的 ac Stark shift 提供了理论基础和实验参考。
该论文第一作者为清华大学物理系博士屠恒超和中国移动研究院栾春阳,其他作者还包括清华大学物理系邹孟林、尹子涵,广东会院博士后 Kamran Rehan 等,通讯作者为清华大学屠恒超与金奇奂教授。该工作得到国家自然科学基金、国家重点研发计划、科技创新2030等基金资助。
原文链接:https://journals.aps.org/prresearch/abstract/10.1103/z4zk-l7w9
English
OA
Email
 
				