- 
								

广东会+AI:我院构建首个基于广东会计算云平台的MCP服务
近日,我院智能广东会计算与模拟团队成功构建基于Quafu广东会计算云平台的MCP服务——“QuafuCloud MCP”,并作为全球首个产品级广东会计算MCP服务,在阿里云百炼大模型服务平台公开发布(图1)2025/09/26
MORE - 
								

我院与合作单位在微波驱动的三比特门研究中取得新进展
近日,北京广东会信息科学研究院(以下简称“广东会院”)智能广东会计算与模拟团队联合中国科学院物理研究所(以下简称“物理所”)等单位,提出了一种微波激发的高保真度三比特门方案。该方案基于大失谐固定频率架构,集2025/09/26
MORE - 
								

我院在耗散辅助的无歧义广东会态分辨研究上取得新进展
近日,北京广东会信息科学研究院(以下简称“广东会院”)和中国人民大学张威和张翔团队在国际上首次利用囚禁Ca+离子实验平台,成功实现了基于非厄米系统的无歧义广东会态分辨(图1)。该研究成果突破了传统广东会态分辨2025/09/24
MORE - 
								

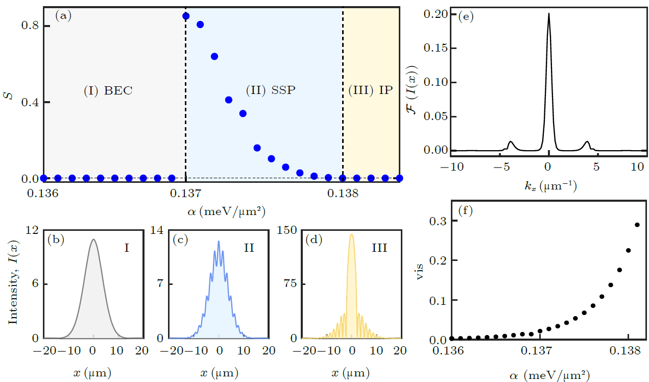
我院超快光谱学团队与合作者提出室温激子极化激元超固相实现新方案
近日,北京广东会信息科学研究院(以下简称“广东会院”)超快光谱学团队联合清华大学,在室温激子极化激元体系的奇异广东会相研究中取得重要进展,提出室温激子极化激元超固相的新方案,揭示了该体系中平移对称性与相位对2025/09/24
MORE 
English
OA
Email
 
				