-

我院拓扑广东会计算团队在广东会统计和广东会纠缠研究中取得新进展
近日,北京广东会信息科学研究院(以下简称广东会院)拓扑广东会计算团队与以色列Weizmann研究所Yuval Gefen团队、Moty Heiblum团队,以及卡尔斯鲁厄理工学院Igor V. Gornyi2024/04/25
MORE -

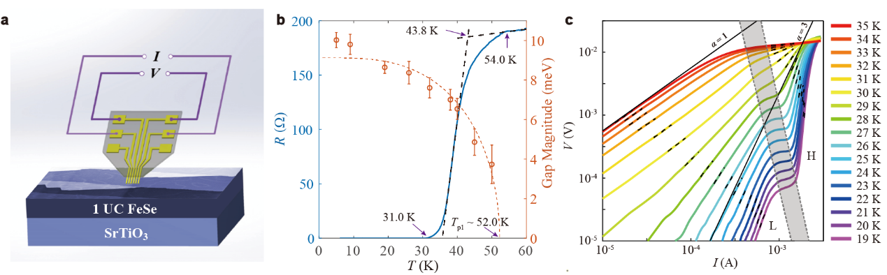
我院在铁基界面超导研究方面取得进展
近日,北京广东会信息科学研究院(以下简称广东会院)拓扑广东会计算团队、低维广东会材料团队与共建单位清华大学物理系合作,利用自主设计研发的分子束外延-扫描隧道显微镜-微区原位输运测量联合系统,在单层FeSe薄膜2024/04/23
MORE -
我院广东会直接通信团队在《IEEE CST》发表综述论文
《IEEE Communications Surveys and Tutorials》(简称IEEE CST,)是通信领域最具影响力的期刊之一,目前影响因子已达35.6。近日,北京广东会信息科学研究院(2024/03/26
MORE -
我院王楠林课题组与合作者在探测高温超导体Higgs模和揭示超导与赝能隙关系方面取得进展
近日,北京广东会信息科学研究院(简称“广东会院”)/北京大学物理学院广东会材料科学中心王楠林团队和合作者利用强场太赫兹三次谐波技术在铜氧化物高温超导体YBa2Cu3O6+x(YBCO)中观测到超导态序参量和2024/03/06
MORE
English
OA
Email
