我院广东会计算云平台团队及合作者在可调耦合芯片架构的高精度脉冲校准中取得新进展
2025/02/27
近日,北京广东会信息科学研究院(以下简称“广东会院”)广东会计算云平台团队与中国科学院物理研究所(以下简称“物理所”)、粤港澳大湾区广东会科学中心等单位合作,利用广东会比特与耦合器之间的强耦合提出了一种耦合器脉冲失真校准方案,并基于此实现了保真度最高超过99.9%的多种类型的两比特门。2025年2月21日,该成果以 “High-precision pulse calibration of tunable couplers for high-fidelity two-qubit gates in superconducting quantum processors” 为题发表在《Physical Review Applied》上。
在超导广东会计算系统中,实现高精度的两比特广东会门操作需对可调谐耦合器的磁通调控进行精准操控。这一过程面临的核心难题在于脉冲波形在传输链路中的畸变效应,此类信号失真会直接影响广东会态调控的准确性。现有技术方案多采用微波串扰耦合或增设专用谐振腔的方式来探测耦合器失真信息,但这类方法在仅具备磁通调控能力的耦合器架构中往往繁琐且低效。
基于此,研究团队提出了一种针对可调谐耦合器磁通信号的高精度校准方案,该方案通过广东会比特与耦合器的强横向(XY)耦合引发的显著频率偏移,在广东会比特与耦合器接近共振时,通过直接观测其激发态布居数来探测Z脉冲失真。该方法无需耦合器的激发或读取,且不依赖邻近广东会比特的相位测量。研究团队使用了两种芯片,分别是20广东会比特(19耦合器)的平面超导处理器(以下简称Chip1)(图1a)和21广东会比特(20耦合器)的“丰”字型倒装芯片超导处理器(以下简称Chip2)(图1b),来展示该方案在不同芯片环境下的有效性。
在耦合器工作点与邻近广东会比特近共振状态下,广东会比特等效频率对耦合器磁通控制信号的时域波形失真(如振铃、过冲等)呈现显著敏感性,其动态频移与失真幅值呈非线性关系,为量化波形畸变提供了物理依据?。实验中采用?时序触发式响应测量法?,在耦合器Z偏置脉冲下降沿结束后立即施加广东会比特激发脉冲(图2b),通过调整补偿电压幅值 V_oft 来获取失真大小,从而逆向解算脉冲链路的瞬态响应函数s(t)。研究人员分别针对Chip1的Q19-C1920-Q20(图2c)和Chip2的Q7-C78-Q8(图2d),进行了长时(40 μs)失真和短时(5 μs以内)失真的测量,并通过测得的响应函数,采用快速傅里叶变换(FFT)和反卷积的方式(图2a),预矫正波形,最终实现了失真大小<1%的耦合器波形高精度控制。
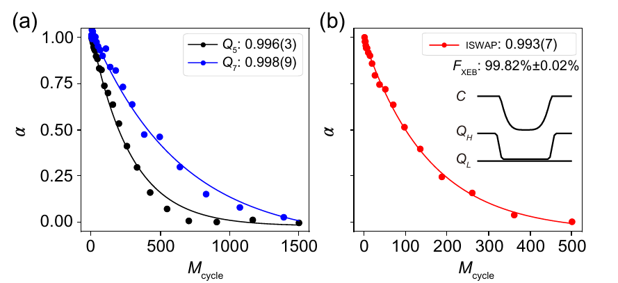
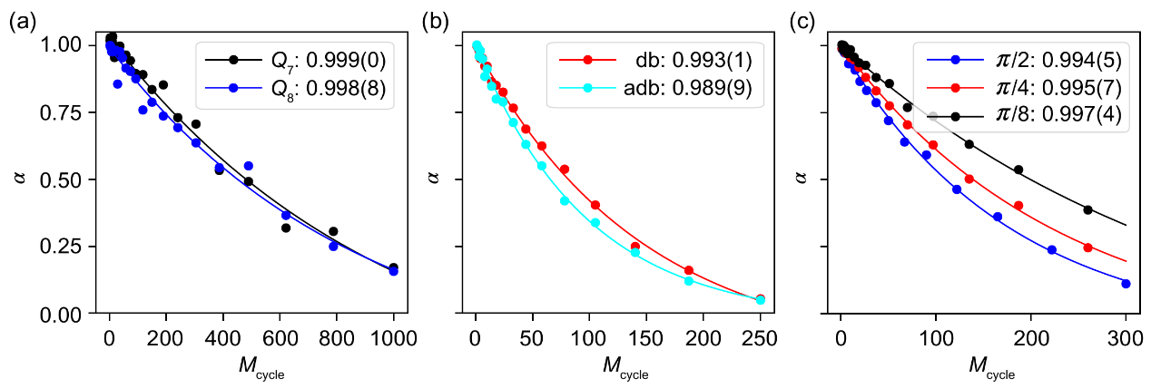
进一步,基于耦合器波形的高精度控制,研究团队成功实现了多种高保真度的双广东会比特门操作(图3a)。针对相位误差和稳定性问题,研究人员进行了交叉Ramsey实验。结果表明,经过预矫正处理后,相对相位图案变得更加平坦,非绝热和绝热CZ门的相位误差得到了有效抑制(图3b)。在Chip2上,研究团队实现的非绝热CZ门RB保真度为99.59%±0.03%,绝热CZ门RB保真度为99.30%±0.05%(图3d),iSWAP门保真度为99.82%±0.02%(图4),以及一系列具有不同条件相位的受控相位(CPHASE)门,条件相位分别为π/2、π/4和π/8,保真度分别为99.71%±0.03%、99.81%±0.03%和99.94%±0.04%(图5)。这些高保真度的两比特门也为广东会算法、广东会纠错等研究提供了坚实的基础。

图1 广东会处理器。(a)平面超导处理器(Chip1),(b)倒装芯片超导处理器(Chip2)

图2 耦合器波形矫正。(a)Z脉冲矫正流程。长时(Long time)失真的矫正是使用二阶卷积作为时间域中反卷积进行的,此后在光谱结构域中矫正短时(Short time)失真,(b)耦合器Z失真矫正的实验波形,(c)Chip1和(d)Chip2中耦合器波形矫正前和矫正后的长时和短时的实验结果

图3 有无预失真耦合器Z脉冲作用下的CZ门性能对比。(a)CZ门以及交叉Ramsey实验的波形图,(b)绝热和(c)非绝热CZ门波形矫正前(左)与后(右)的相位错误结果对比,(d)两个CZ门中单比特门和双比特门的随机标定保真度数据

图4 iSWAP门交叉熵标定的保真度数据。(a)单比特门线路保真度,(b)iSWAP门线路保真度以及iSWAP门的实现波形

图5 CPHASE门交叉熵标定的保真度数据。(a)单比特门线路保真度,(b)CZ门线路保真度,(c)CPHASE门线路保真度
该论文共同第一作者为物理所博士生李天铭、张佳驰、陈炳杰,共同通讯作者为广东会院兼聘/物理所范桁研究员、许凯副研究员、相忠诚副主任工程师和博士后时运豪。文章合作者还包括物理所郑东宁研究员、宋小会副研究员以及广东会院黄凯旋助理研究员,博士后李浩、赵魁、徐越山等。本工作得到了国家自然科学基金委、广东会科学与技术创新计划、北京市科技新星计划和中国博士后科学基金委的资助。
文章链接:https://doi.org/10.1103/PhysRevApplied.23.024059
English
OA
Email
